随着2025年的收官,市场的焦点都汇集到了那些暴涨的明星股之上。
但是,芸芸众生的日子同样值得推敲。这次,览富财经将目光对准了那些“小透明”。他们之中,有的股价波动仅在±0.5%,一年到头活了“一场空”;有的股价振幅小于20%,习惯了长期“横着走”。
究竟是哪些原因令这些公司过上了如此“寂寞”的人生?

63只个股喜欢“横着走”
年度股价振幅小于20%是指某只股票在一年内的最高价与最低价之差除以开盘价的百分比小于20%。这一指标反映了股票价格在一年内的波动幅度相对较小,属于相对平稳的走势。
同花顺数据显示,股价振幅小于20%的上市公司有63家。

据览富财经观察,这些公司具有以下共同特点:
行业属性方面,多为传统行业或成熟行业的企业,业务模式相对稳定,受市场情绪和宏观经济波动的影响较小。
在这63家上市公司中,根据申万一级行业分类,公用事业 12家,占比19.0%;医药生物11家,占比17.5%;交通运输8家,占比12.7%;环保、食品饮料各7家,占比11.1%;基础化工3家,纺织服饰、建筑装饰、煤炭各2家。
公司规模方面,往往是大型蓝筹股或市值较大的公司,由于其在市场中的地位较为稳固,资金进出相对平稳,股价波动相对较小。
在这63家上市公司中,、、、、、、、金龙鱼、上港集团、中国中铁、三峡能源、云南白药等12家公司总市值均超过千亿,贵州茅台和中国移动更是万亿级的“巨无霸”。
从实际控制人类型看,地方国资委26家,占比41.3%;国资委16家,占比25.4%;地方政府4家,占比6.3%;中央国有企业2家,占比3.2%。
贵州茅台K线图
整体而言,这些公司通常不会成为市场热点或炒作对象,但也能在一定程度上抵御市场风险。
68只个股忙了“一场空”
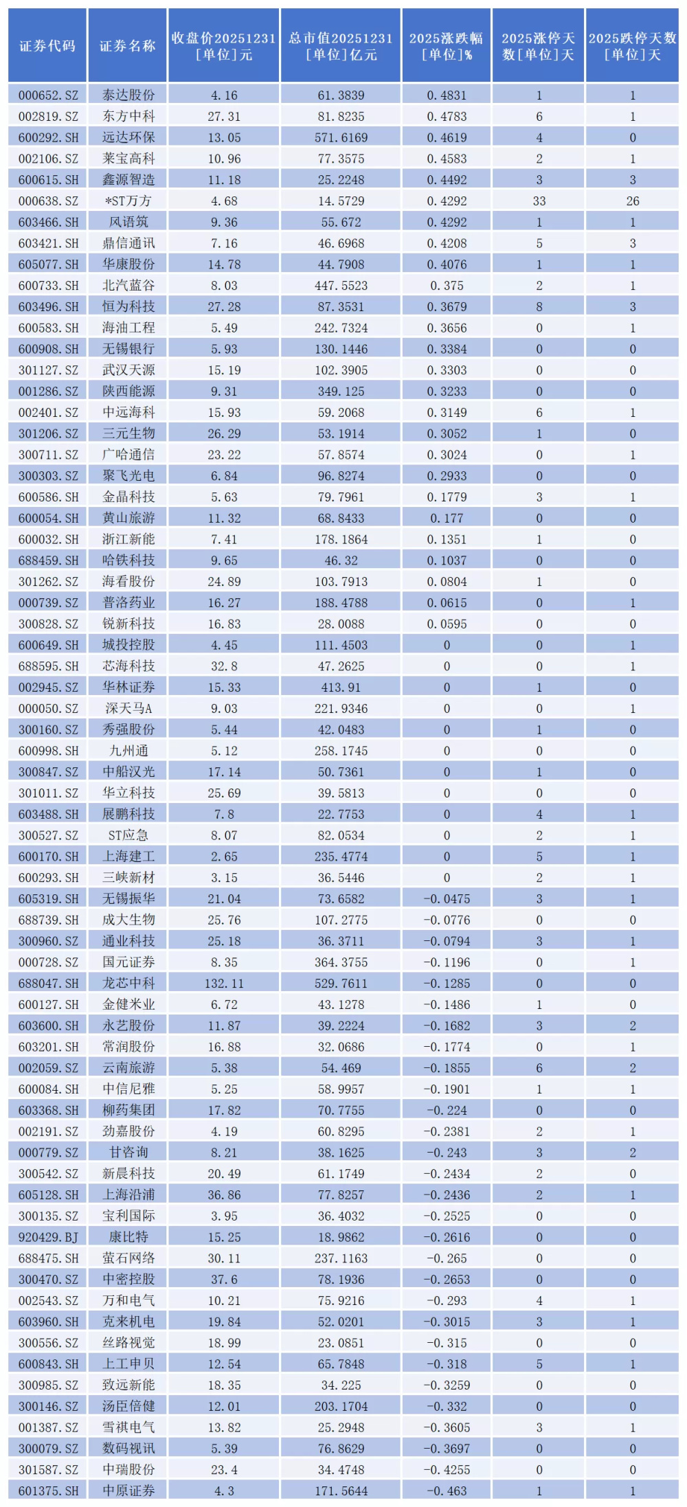
股价波动是衡量股票风险的核心指标。±0.5%的波动意味着价格在一年内上下浮动不超过0.5%,远低于市场平均水平(通常±10%或更高)。
同花顺数据显示,2025年股价波动仅在±0.5%的上市公司有68家。其中,、芯海科技、华林证券、深天马A、秀强股份、九州通、中船汉光、华立科技、展鹏科技、ST应急、、三峡新材等12家公司为“0涨幅”。

这68家公司存在较大分化。从行业分布看,遍布申万25个一级行业。其中,机械设备9家,占比13.2%;计算机7家,占比10.3%;电子、汽车各5家,占比7.4%;医药生物4家,占比5.9%;非银金融、家用电器、轻工制造、食品饮料各3家。
从业绩表现看,2025年前三季度,31家营业收入同比下滑,云南旅游下滑58.72%;37家营业收入同比增长,城投控股增长938.8%。同期,40家归母净利润同比下滑,鼎信通讯下滑1082.52%;28家归母净利润同比增长,金健米业增长315.27%。
从股价上看,除了龙芯中科是百元股,其余67家公司股价均处于40元/股以下,10元/股以下多达29家公司,总市值位于10亿—600亿元区间。
从二级市场走势看,有的是常年“波澜不惊”。上海建工自2016年起月线横盘近7年,股价在2-3元区间波动,属于上海国资委旗下建筑行业龙头,基本面稳定但市场关注度较低。
上海建工K线图
有的是“上蹿下跳”,最终落得个寂寞。2025年,*ST万方收获33个涨停,26个跌停,全年累计涨幅0.42%。
*ST万方K线图